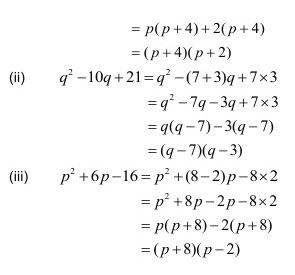
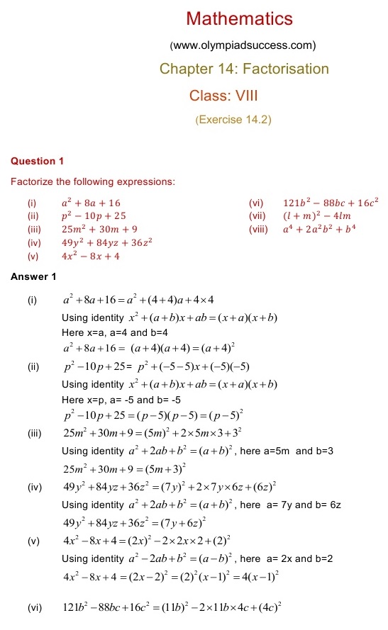
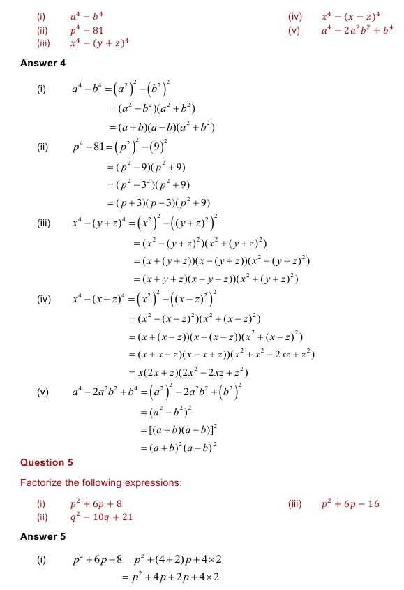
Chapter 14: Factorization- Exercise- 14.2


NCERT Solutions for Maths Class 8 Chapter 14

NCERT Solutions for Maths Class 8 Chapter 14 Exercise 14.2

NCERT Solutions for Maths Class 8 Chapter 14 Exercise 14.2

NCERT Solutions for Maths Class 8 Chapter 14 Exercise 14.2

NCERT Solutions for Maths Class 8 Chapter 14

Other Chapters

Explore

SchoolPlus Program

Yearlong program for Olympiads preparation & to build necessary skills for future.

Explore More icon

Olympiad Exam Dates

Time to mark your calendar with the upcoming Olympiads exam schedule.

Explore More icon

LIVE Classes for Olympiads

Take your Olympiad preparation to next-level by taking LIVE Classes.

Explore More icon

Olympiad Test Series

Assess your performance by taking topic-wise and full length mock tests.

Explore More icon

International Olympiads

Online tuitions for international compeitions like SASMO, SEAMO, etc for Grades 1-11.

Explore More icon

70%